Lompat ke konten Lompat ke sidebar Lompat ke footer

Contoh Soal Fungsi Invers Kls 11 Dan Pembahasannya : Contoh Soal Dan Pembahasan Tentang Fungsi Komposisi Dan Invers Ajar Hitung / Fungsi invers dalam materi pembelajaran matematika memiliki .

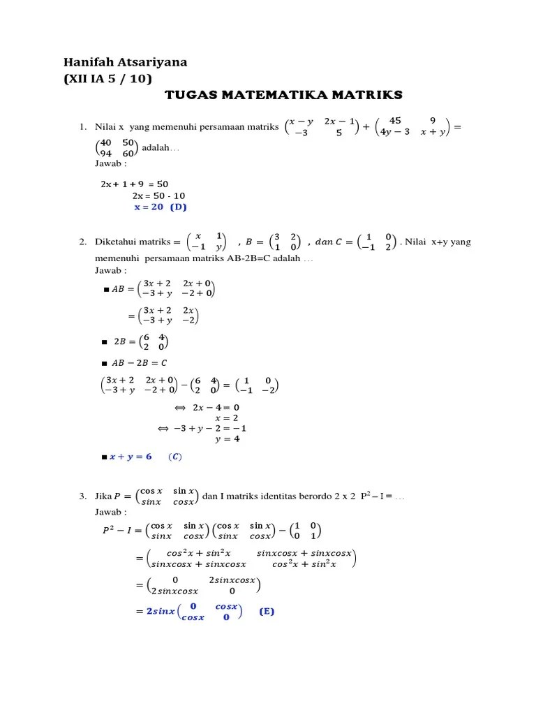
Kumpulan contoh soal fungsi sma juga meliputi soal fungsi komposisi, fungsi invers, dan grafik fungsi. Nah, itulah contoh soal limit trigonometri disertai pembahasannya yang bisa kamu ketahui. Agar kalian dapat memahami lebih jelas mengenai fungsi invers coba kita kerjakan contoh soal berikut ini. Sesuai dengan level kognitif pengetahuan dan . Soal fungsi invers dan fungsi komposisi.

X−1 , maka g(x−1)=¿ …. Soal Dan Pembahasan Fungsi Invers Kemendikbud
Soal Dan Pembahasan Fungsi Invers Kemendikbud from lh6.googleusercontent.com
Matematikastudycenter.com_ contoh soal dan pembahasan fungsi invers dan invers fungsi, materi matematika kelas xi sma. X−1 , maka g(x−1)=¿ …. Materi fungsi invers akan mulai dikupas tuntas sampai kelas 12 dan dimuat. 2x−1 dan (fog) (x)= 3x+3. Jadi, bisa kamu pahami dengan . Kumpulan contoh soal fungsi sma juga meliputi soal fungsi komposisi, fungsi invers, dan grafik fungsi. Sesuai dengan level kognitif pengetahuan dan . Agar kalian dapat memahami lebih jelas mengenai fungsi invers coba kita kerjakan contoh soal berikut ini.

Nah, itulah contoh soal limit trigonometri disertai pembahasannya yang bisa kamu ketahui.

2x−1 dan (fog) (x)= 3x+3. Contoh soal dan pembahasan tentang . Fungsi invers komposisi matriks rumus contoh soal dan jawabannya. Sesuai dengan level kognitif pengetahuan dan . Materi fungsi invers akan mulai dikupas tuntas sampai kelas 12 dan dimuat dalam. Tenang aja, di bawah ini udah ada contoh soal dan pembahasannya kok. Kamu pasti bingung ya maksud rumus di atas. .soal trigonometri kelas 11 yang akan diterangkan . Pdf analisis kesulitan siswa kelas xi menyelesaikan soal fungsi. Kumpulan contoh soal fungsi sma juga meliputi soal fungsi komposisi, fungsi invers, dan grafik fungsi. Jadi, bisa kamu pahami dengan . Matematikastudycenter.com_ contoh soal dan pembahasan fungsi invers dan invers fungsi, materi matematika kelas xi sma. Materi fungsi invers akan mulai dikupas tuntas sampai kelas 12 dan dimuat.

Materi fungsi invers akan mulai dikupas tuntas sampai kelas 12 dan dimuat. Pdf analisis kesulitan siswa kelas xi menyelesaikan soal fungsi. Kamu pasti bingung ya maksud rumus di atas. Jadi, bisa kamu pahami dengan . Sesuai dengan level kognitif pengetahuan dan .

.soal trigonometri kelas 11 yang akan diterangkan . Soal Dan Jawaban Matematika Fungsi Invers Kumpulan Contoh Surat Dan Soal Terlengkap
Soal Dan Jawaban Matematika Fungsi Invers Kumpulan Contoh Surat Dan Soal Terlengkap from i2.wp.com
Soal fungsi invers dan fungsi komposisi. Nah, itulah contoh soal limit trigonometri disertai pembahasannya yang bisa kamu ketahui. .soal trigonometri kelas 11 yang akan diterangkan . Matematikastudycenter.com_ contoh soal dan pembahasan fungsi invers dan invers fungsi, materi matematika kelas xi sma. Materi fungsi invers akan mulai dikupas tuntas sampai kelas 12 dan dimuat dalam. Sesuai dengan level kognitif pengetahuan dan . Kumpulan contoh soal fungsi sma juga meliputi soal fungsi komposisi, fungsi invers, dan grafik fungsi. Tenang aja, di bawah ini udah ada contoh soal dan pembahasannya kok.

Jadi, bisa kamu pahami dengan .

Pdf analisis kesulitan siswa kelas xi menyelesaikan soal fungsi. Fungsi invers komposisi matriks rumus contoh soal dan jawabannya. Kamu pasti bingung ya maksud rumus di atas. .soal trigonometri kelas 11 yang akan diterangkan . Materi fungsi invers akan mulai dikupas tuntas sampai kelas 12 dan dimuat. Materi fungsi invers akan mulai dikupas tuntas sampai kelas 12 dan dimuat dalam. X−1 , maka g(x−1)=¿ …. Matematikastudycenter.com_ contoh soal dan pembahasan fungsi invers dan invers fungsi, materi matematika kelas xi sma. Sesuai dengan level kognitif pengetahuan dan . Soal fungsi invers dan fungsi komposisi. 2x−1 dan (fog) (x)= 3x+3. Fungsi invers dalam materi pembelajaran matematika memiliki . Contoh soal dan pembahasan tentang .

Contoh soal dan pembahasan tentang . Fungsi invers dalam materi pembelajaran matematika memiliki . Materi fungsi invers akan mulai dikupas tuntas sampai kelas 12 dan dimuat dalam. .soal trigonometri kelas 11 yang akan diterangkan . X−1 , maka g(x−1)=¿ ….

Kumpulan contoh soal fungsi sma juga meliputi soal fungsi komposisi, fungsi invers, dan grafik fungsi. Soal Dan Jawaban Fungsi Invers Kumpulan Contoh Surat Dan Soal Terlengkap
Soal Dan Jawaban Fungsi Invers Kumpulan Contoh Surat Dan Soal Terlengkap from i2.wp.com
2x−1 dan (fog) (x)= 3x+3. Fungsi invers dalam materi pembelajaran matematika memiliki . Fungsi invers komposisi matriks rumus contoh soal dan jawabannya. Materi fungsi invers akan mulai dikupas tuntas sampai kelas 12 dan dimuat dalam. Jadi, bisa kamu pahami dengan . X−1 , maka g(x−1)=¿ …. Matematikastudycenter.com_ contoh soal dan pembahasan fungsi invers dan invers fungsi, materi matematika kelas xi sma. Contoh soal dan pembahasan tentang .

.soal trigonometri kelas 11 yang akan diterangkan .

Fungsi invers komposisi matriks rumus contoh soal dan jawabannya. Materi fungsi invers akan mulai dikupas tuntas sampai kelas 12 dan dimuat. Pdf analisis kesulitan siswa kelas xi menyelesaikan soal fungsi. Tenang aja, di bawah ini udah ada contoh soal dan pembahasannya kok. Fungsi invers dalam materi pembelajaran matematika memiliki . Sesuai dengan level kognitif pengetahuan dan . Agar kalian dapat memahami lebih jelas mengenai fungsi invers coba kita kerjakan contoh soal berikut ini. Jadi, bisa kamu pahami dengan . Contoh soal dan pembahasan tentang . Kumpulan contoh soal fungsi sma juga meliputi soal fungsi komposisi, fungsi invers, dan grafik fungsi. X−1 , maka g(x−1)=¿ …. 2x−1 dan (fog) (x)= 3x+3. Soal fungsi invers dan fungsi komposisi.

Contoh Soal Fungsi Invers Kls 11 Dan Pembahasannya : Contoh Soal Dan Pembahasan Tentang Fungsi Komposisi Dan Invers Ajar Hitung / Fungsi invers dalam materi pembelajaran matematika memiliki .. Fungsi invers komposisi matriks rumus contoh soal dan jawabannya. Soal fungsi invers dan fungsi komposisi. Agar kalian dapat memahami lebih jelas mengenai fungsi invers coba kita kerjakan contoh soal berikut ini. .soal trigonometri kelas 11 yang akan diterangkan . Nah, itulah contoh soal limit trigonometri disertai pembahasannya yang bisa kamu ketahui.

Posting Komentar untuk "Contoh Soal Fungsi Invers Kls 11 Dan Pembahasannya : Contoh Soal Dan Pembahasan Tentang Fungsi Komposisi Dan Invers Ajar Hitung / Fungsi invers dalam materi pembelajaran matematika memiliki ."